光学定数
光学定数は膜厚の測定に大きく関係しています。膜厚は膜内と通過する光の光路長に影響を与えますが、光学定数は光の速度と屈折する角度に影響します。そのため、膜厚と光学定数のどちらともが表面での反射光と膜を通過してくる光との干渉に寄与します。光学的測定から正しい解を得たい場合、膜厚とともにnとkが既知である必要があります。
エリプソメトリーは膜厚と光学定数nとkを測定するために用いられます。nとk両方とも物質を記述するのに必要な値で波長や温度が変化するにつれて変化する値です。nはサンプルの「屈折率」を表します。この値でサンプルを伝播する光の速度と方向を得ることが出来ます。kは「消衰係数」を表し物質中でどれくらいの光のエネルギーが吸収されるかに関係した値です。
これらの値は波長によって変化し、また2つの値は複素屈折率で1つに表示されます。

このnとkの値は物質が光に対してどのように振舞うかを表します。また光が物質に対してどのように振舞うかを同じように定義する方法があります。
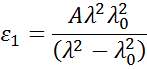
これが複素誘電関数です。

e1は電気双極子を誘発する偏光の量を表し、e2はキャリアが発生することに関係する吸収の量を表します。これらの2つの式は同じ情報を異なった形で表しているにすぎません。下記の式でこれら2つの形式を変換することが出来ます。

物質の光学定数は波長によって異なるため、エリプソメーターで測定した全波長で光学定数を記述する必要があります。光学定数の表データから各波長における材料の応答を予測することはできますが、未知の光学定数を1波長ずつ調整していくというのは非常に不都合です。全波長で同時に調整できることのほうがより都合が良いと言えます。この問題を解決するために波長に対する光学定数を記述した分散式が一般的に使用されます。分散式中のパラメーターを調整することで全波長での光学定数を測定されたデータに近づけることができます。nとkを1波長ずつ個別でフィッティングすることと比べて、分散式を用いることで調整する未知のパラメーター数を大幅に減らすことができます。
透明材料の場合、一般に光学定数はCauchyまたはSellmeierの分散式で記述されます。Cauchyの分散式は次式で与えられます。

この式では3つの項を調節して、材料の光学定数にフィッティングします。Cauchyの分散式はクラマース・クローニヒ(Kramers-Kronig :KK)関係を満たしておらず、物理的に妥当でない分散である可能性があります。Sellmeirの分散式はKK関係を満たしているため、物理的な妥当性が保証されています。Sellmeier の分散式は次式で与えられます。

吸収材料は一般にCauchyまたはSellmeierの分散式でモデル化することができる透明な波長領域があります。しかし、吸収がある波長領域では光学定数に実部と虚部が存在します。一般的な分散式では、様々な材料の吸収を記述するために振動子を使用しています。振動子にはLorentzやHarmonic、Gaussian振動子などがあります。これらの振動子には吸振幅、半値幅、中心エネルギー(これは光の波長に関係します)で吸収の形状を記述するという共通した特性があります。振動子を用いて光学定数の虚部の形状を表現したのちに、クラマース・クローニヒの関係式から光学定数の実部が計算されます。その後、測定した波長範囲外の吸収により実部にかかるオフセットを追加します。Lorentz振動子は次式で表されます。

図10にLorentz振動子のパラメーターである振幅(A)、半値幅(B)、中心エネルギー(Ec)を示しています。エネルギーEは光の波長と次の関係があります。

ここでのhはプランクで定数であり波長の単位はnmです。より応用的な振動子であるTauc-Lorentz振動子やCody-Lorentz振動子にはバンドギャップのエネルギーを記述する項もあります。
